A recent study published in the journal Nature reveals important insights into how animal life transitioned from aquatic to terrestrial environments. This evolutionary shift represents one of the most significant challenges faced by life on Earth, requiring substantial changes in the genome to adapt to new conditions. The research, led by Marta Álvarez-Presas of the University of Barcelona and Jordi Paps from the University of Bristol, outlines the key genomic adaptations that facilitated this transition across various animal lineages.
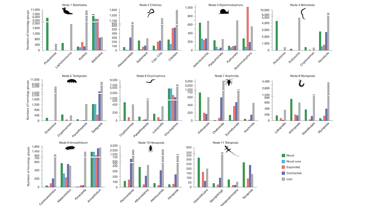
The study identifies genomic changes in 154 genomes from 21 animal phyla, reconstructing the adaptations associated with eleven independent events of terrestrialization. First author Jialin Wei, a PhD student working under the supervision of Álvarez-Presas and Paps, notes that while each lineage followed its own evolutionary path, many adaptive functions evolved independently and repeatedly in response to similar environmental pressures.
Genomic Adaptations and Convergence
Research indicates that all terrestrial lineages, despite evolving separately, exhibit convergent genomic changes aimed at overcoming the challenges of life on land. Key adaptations are linked to osmoregulation—managing water and salt balance to prevent dehydration—as well as immunity, metabolism, and sensory perception.
“In the study, we found that all terrestrial lineages have gained and lost genes in a convergent manner,” explains Álvarez-Presas, who is affiliated with the Department of Evolutionary Biology, Ecology, and Environmental Sciences. “The most recurrent innovations are related to environmental stress and reproduction.” Wei adds that gene losses also played a crucial role, with some occurring across different groups, while others remain unique to specific lineages.
The study highlights that terrestrialization has happened multiple times independently among various animal groups. Each occurrence required these lineages to confront comparable physiological and environmental challenges, reinforcing the idea of evolutionary convergence.
“Many genomic adaptations to terrestrial life are convergent, suggesting broadly predictable molecular responses when faced with similar ecological challenges,” states Álvarez-Presas. “This indicates that there are common responses in life when subjected to similar evolutionary pressures.”
Patterns of Terrestrialization and Evolution
The findings reveal that evolution is both predictable and contingent. Certain adaptations re-emerge across different lineages as necessary for life outside of aquatic environments. Yet, each lineage retains its distinct evolutionary history, influenced by various environmental factors.
The research identified three major waves of terrestrialization that align with significant global ecological changes. Notably, some of the functions shared between lineages diverged more than 500 million years ago, providing a unique perspective on the evolutionary history of life on Earth.
Despite expectations, the extent of genomic renewal and the recurrence of osmoregulatory functions across all groups were surprising. These findings confirm that maintaining water and ionic balance was a critical hurdle for conquering terrestrial ecosystems.
Terrestrial vertebrates and molluscs, such as snails and slugs, demonstrate significant innovations, including expansions of gene families related to ion transport and modifications in metabolism that reduce water loss. Wei points out that convergent losses of genes associated with regeneration were also observed among several terrestrial groups, suggesting these functions may be less critical outside aquatic environments.
As genomic research continues to evolve, the study emphasizes the importance of integrating data from newly sequenced genomes to enrich our understanding of evolutionary pathways. “The evolutionary history of life on Earth has been rewritten through different geological eras, and this study provides a framework for future research,” concludes Álvarez-Presas.
In summary, the study not only sheds light on the genomic basis of terrestrial adaptation but also reinforces the complexity and predictability of evolution as life transitioned from water to land.







































